Nazywam się Marianna Adamska i od lat zgłębiam tajniki ludzkiego organizmu. Dziś chciałabym przybliżyć Wam molekułę, która jest absolutnym fundamentem życia adenozynotrifosforan, czyli ATP. To właśnie ta niepozorna cząsteczka stanowi klucz do zrozumienia, jak nasze komórki pozyskują i wykorzystują energię, by napędzać każdy, nawet najmniejszy proces życiowy.
Wyobraźcie sobie ATP jako uniwersalną walutę energetyczną organizmu. Bez niej żadna komórka nie mogłaby funkcjonować. To właśnie ATP zasila nasze mięśnie do ruchu, pozwala na transport substancji przez błony komórkowe, a także jest niezbędne do budowy nowych cząsteczek i przekazywania sygnałów. Bez nieustannej produkcji i obiegu ATP, życie w takiej formie, jaką znamy, byłoby niemożliwe.
ATP: Odkryj, co napędza każdą komórkę Twojego ciała
ATP, czyli adenozynotrifosforan, to organiczny związek chemiczny, który pełni funkcję uniwersalnego nośnika energii we wszystkich żywych komórkach. Można go porównać do naładowanej baterii, gotowej w każdej chwili dostarczyć energię potrzebną do wykonania pracy. Ta "waluta energetyczna" jest niezbędna do przebiegu większości procesów wymagających nakładu energetycznego, bez których życie nie mogłoby istnieć.
Kluczowe znaczenie ATP dla życia jest nie do przecenienia. To dzięki niemu możliwe są tak fundamentalne procesy jak skurcze mięśni, które umożliwiają nam ruch, transport aktywny przez błony komórkowe, pozwalający na utrzymanie odpowiedniego środowiska wewnątrz komórki, oraz synteza złożonych cząsteczek budujących nasze ciała od białek po materiał genetyczny. Według danych Neuroexpert.org, adenozynotrifosforan (ATP) to organiczny związek chemiczny, który pełni funkcję uniwersalnego nośnika energii we wszystkich żywych komórkach.
Czym jest ATP? Definicja "waluty energetycznej" życia
Określenie ATP jako "waluty energetycznej" życia jest niezwykle trafne. Podobnie jak pieniądze są uniwersalnym środkiem wymiany w gospodarce, tak ATP jest uniwersalnym nośnikiem energii w świecie biologicznym. Każda komórka, niezależnie od tego, czy należy do bakterii, rośliny czy człowieka, wykorzystuje ATP do zasilania swoich procesów. Ta uniwersalność sprawia, że ATP jest fundamentem metabolizmu energetycznego na całym świecie. Kiedy mówimy o energii w komórce, niemal zawsze mamy na myśli właśnie ATP i jego rolę w dostarczaniu "paliwa" do wszelkich działań.
Dlaczego bez ATP nie ma życia? Kluczowa rola w procesach biologicznych
Bez ATP życie w znanej nam formie byłoby niemożliwe. Ta cząsteczka jest absolutnie niezbędna do utrzymania homeostazy, czyli stabilnego środowiska wewnętrznego komórki. Umożliwia transport aktywny substancji przez błony komórkowe, co jest kluczowe dla pobierania składników odżywczych i usuwania produktów przemiany materii. ATP dostarcza energii do syntezy białek, kwasów nukleinowych i innych niezbędnych cząsteczek, które budują i naprawiają komórki. Bez energii z ATP nie mogłyby zachodzić procesy wzrostu, rozwoju, a także rozmnażania. Nawet tak podstawowe czynności jak utrzymanie odpowiedniego potencjału elektrycznego na błonie komórkowej, niezbędnego do przewodzenia impulsów nerwowych, opierają się na energii dostarczanej przez ATP.

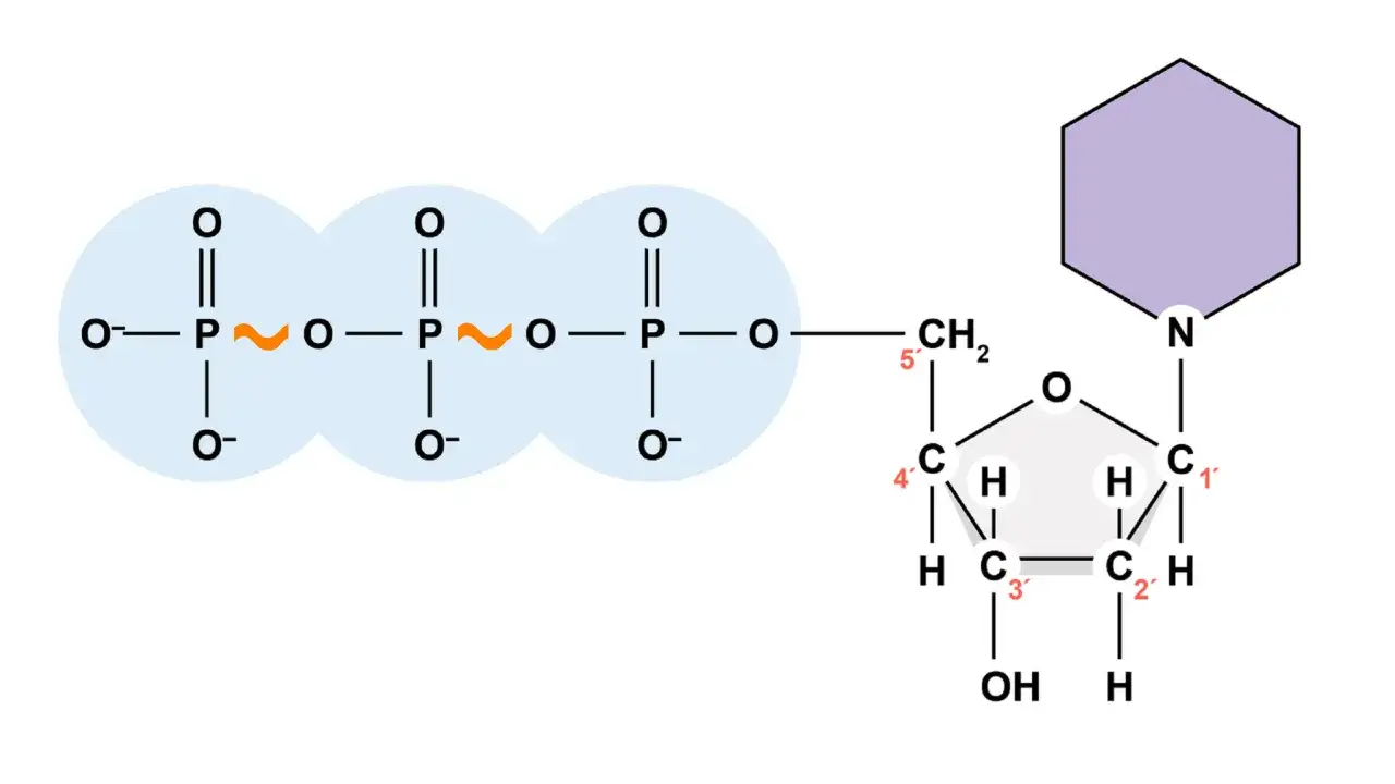
Jak zbudowana jest cząsteczka ATP? Anatomia nośnika energii
Zrozumienie budowy cząsteczki ATP jest kluczem do pojmowania jej niezwykłej funkcji jako nośnika energii. To właśnie specyficzna struktura ATP decyduje o tym, jak efektywnie może ono magazynować i uwalniać energię potrzebną do napędzania procesów życiowych.
Trzy fundamentalne składniki: adenina, ryboza i reszty fosforanowe
Cząsteczka ATP składa się z trzech głównych elementów. Pierwszym jest adenina zasada azotowa, która jest jednym z podstawowych budulców kwasów nukleinowych (DNA i RNA). Drugim składnikiem jest ryboza pięciowęglowy cukier, który również wchodzi w skład RNA. Te dwa elementy razem tworzą nukleozyd zwany adenozyną. Do adenozyny przyłączony jest łańcuch trzech reszt fosforanowych. To właśnie te reszty fosforanowe, a konkretnie wiązania między nimi, odgrywają kluczową rolę w magazynowaniu energii.
Tajemnica "wysokoenergetycznych wiązań" – gdzie magazynowana jest energia?
Energia w cząsteczce ATP nie jest magazynowana w sposób równomierny. Najwięcej energii znajduje się w wiązaniach łączących reszty fosforanowe. Dwa ostatnie wiązania, zwłaszcza to ostatnie, są nazywane "wysokoenergetycznymi". Dlaczego? Ponieważ ich rozerwanie, czyli proces hydrolizy, uwalnia znaczną ilość energii około 7.3 kilokalorii na mol w standardowych warunkach. Można to porównać do naciągniętej sprężyny zgromadzona w niej energia jest gotowa do uwolnienia w momencie zwolnienia blokady. Kiedy komórka potrzebuje energii do wykonania pracy, na przykład do skurczu mięśnia, "rozrywa" jedno z tych wysokoenergetycznych wiązań. W ten sposób ATP przekształca się w ADP (adenozynodifosforan) i wolną resztę fosforanową, a uwolniona energia jest natychmiast wykorzystywana.
Jak organizm produkuje energię? Główne szlaki syntezy ATP
Skoro ATP jest tak kluczowe, skąd organizm bierze jego stałe dostawy? Odpowiedź leży w złożonych procesach metabolicznych, które nieustannie odtwarzają tę cząsteczkę. Proces ten, zwany fosforylacją, polega na przyłączeniu reszty fosforanowej do ADP, co wymaga dostarczenia energii. Energia ta pochodzi z rozkładu związków odżywczych.
Fosforylacja substratowa: szybka energia prosto z reakcji chemicznych
Fosforylacja substratowa to jeden z podstawowych mechanizmów produkcji ATP. Jest to proces stosunkowo szybki, ale generujący mniejszą ilość ATP w porównaniu do innych szlaków. Polega on na bezpośrednim przeniesieniu grupy fosforanowej z wysokoenergetycznego związku organicznego (substratu) na cząsteczkę ADP, tworząc ATP. Ten typ fosforylacji zachodzi w cytoplazmie komórki podczas glikolizy pierwszego etapu rozkładu glukozy a także w mitochondriach, w cyklu Krebsa. Jest to jak szybkie "podładowanie" komórki w sytuacjach, gdy potrzebuje ona natychmiastowego zastrzyku energii.
Fosforylacja oksydacyjna: mitochondrialna "elektrownia" komórkowa w akcji
Fosforylacja oksydacyjna to najbardziej wydajny sposób produkcji ATP w komórkach eukariotycznych i zachodzi głównie w mitochondriach organellach często nazywanych "elektrowniami komórkowymi". Proces ten jest złożony i wykorzystuje energię uwalnianą podczas utleniania składników odżywczych (głównie glukozy i kwasów tłuszczowych). Energia ta jest stopniowo uwalniana w szeregu reakcji tworzących łańcuch transportu elektronów. Powstający w ten sposób gradient protonowy (różnica stężeń protonów po obu stronach wewnętrznej błony mitochondrialnej) napędza działanie enzymu zwanego syntazą ATP, który efektywnie przyłącza resztę fosforanową do ADP, produkując duże ilości ATP. To właśnie ten proces odpowiada za większość energii potrzebnej do podtrzymania funkcji życiowych.
Fotofosforylacja: jak rośliny zamieniają światło słoneczne w ATP?
Dla organizmów fotosyntetyzujących, takich jak rośliny, algi czy niektóre bakterie, istnieje jeszcze jeden, niezwykle ważny sposób produkcji ATP fotofosforylacja. W tym procesie energia pochodząca ze światła słonecznego jest wykorzystywana do napędzenia syntezy ATP. Energia fotonów jest absorbowana przez barwniki fotosyntetyczne (np. chlorofil), co prowadzi do wzbudzenia elektronów. Następnie, podobnie jak w fosforylacji oksydacyjnej, energia uwolniona podczas przepływu elektronów jest wykorzystywana do wytworzenia gradientu protonowego, który napędza syntazę ATP. Jest to fascynujący mechanizm, który pozwala tym organizmom przekształcać energię świetlną w energię chemiczną, stanowiącą podstawę większości łańcuchów pokarmowych na Ziemi.
Cykl ATP/ADP: Nieustanne ładowanie i rozładowywanie "komórkowej baterii"
Cząsteczki ATP nie są magazynowane w komórce w dużych ilościach. Zamiast tego, organizm utrzymuje dynamiczny cykl ciągłego zużywania i odtwarzania ATP. Można to porównać do nieustannej pracy baterii, która jest stale rozładowywana i ładowana, aby zapewnić ciągłe zasilanie dla urządzenia. Ten cykl ATP/ADP jest absolutnie kluczowy dla nieprzerwanego dostarczania energii.
Hydroliza ATP: Jak uwalniana jest energia do natychmiastowego użytku?
Kiedy komórka potrzebuje energii, dochodzi do hydrolizy ATP. Jest to proces, w którym cząsteczka wody reaguje z ATP, powodując rozerwanie jednego z wysokoenergetycznych wiązań fosforanowych. W wyniku tej reakcji powstaje ADP (adenozynodifosforan) cząsteczka z dwoma resztami fosforanowymi oraz wolna reszta fosforanowa. Co najważniejsze, w trakcie tej reakcji uwalniana jest energia, która jest natychmiast dostępna dla komórki i może być wykorzystana do napędzania różnych procesów, takich jak wspomniany już skurcz mięśni czy transport aktywny.
Resynteza ATP: Proces odtwarzania nośnika energii z ADP
Po tym, jak ATP zostanie zużyte do ADP, cząsteczka ADP musi zostać ponownie "naładowana" poprzez przyłączenie kolejnej reszty fosforanowej. Ten proces, czyli resynteza ATP, wymaga dostarczenia energii. Skąd ta energia się bierze? Pochodzi ona z rozkładu składników odżywczych, głównie glukozy i tłuszczów, poprzez wspomniane wcześniej szlaki metaboliczne: fosforylację substratową, oksydacyjną lub fotofosforylację. ADP i wolna reszta fosforanowa są transportowane do miejsc, gdzie zachodzi produkcja energii, i tam łączone w nową cząsteczkę ATP, gotową do ponownego zasilenia komórki. Ten nieustanny obieg ADP i ATP zapewnia ciągłość dostaw energii.
Do czego komórki wykorzystują energię z ATP? Praktyczne przykłady
Energia zmagazynowana w ATP znajduje zastosowanie w niezliczonych procesach zachodzących w każdej komórce naszego ciała. Od podstawowych funkcji życiowych po bardziej złożone działania, ATP jest uniwersalnym paliwem, które umożliwia ich realizację.
Energia dla ruchu: rola ATP w skurczu mięśni
Jednym z najbardziej spektakularnych przykładów wykorzystania ATP jest skurcz mięśni. Włókna mięśniowe składają się z białek aktyny i miozyny które mogą się ślizgać względem siebie, powodując skrócenie mięśnia. Proces ten jest napędzany przez ATP. Cząsteczka ATP wiąże się z głową miozyny, co powoduje jej odłączenie od aktyny. Następnie, po hydrolizie ATP do ADP i fosforanu, energia uwalniana jest wykorzystywana do "naciągnięcia" głowy miozyny, która ponownie wiąże się z aktyną, tym razem w nowej pozycji. Cykliczne powtarzanie tego procesu prowadzi do skurczu mięśnia.
Napędzanie transportu: jak ATP pozwala pokonywać bariery błon komórkowych?
Błony komórkowe stanowią naturalną barierę dla wielu substancji. Aby jednak komórka mogła pobierać niezbędne składniki odżywcze lub usuwać produkty przemiany materii, konieczny jest transport aktywny proces przenoszenia substancji wbrew ich gradientowi stężeń (z miejsca o niższym stężeniu do miejsca o wyższym). Transport ten wymaga nakładu energii, którą dostarcza ATP. Przykładem są pompy jonowe, takie jak pompa sodowo-potasowa, która wykorzystuje energię z hydrolizy ATP do przenoszenia jonów sodu na zewnątrz komórki i jonów potasu do jej wnętrza, co jest kluczowe dla utrzymania potencjału błonowego i wielu innych funkcji komórkowych.
Budowanie i tworzenie: ATP jako paliwo dla reakcji anabolicznych
ATP jest również niezbędne do procesów anabolicznych czyli syntezy złożonych cząsteczek z prostszych prekursorów. Budowanie białek z aminokwasów, synteza DNA i RNA z nukleotydów, czy tworzenie polisacharydów z monosacharydów wszystkie te procesy wymagają dostarczenia energii. ATP dostarcza tę energię, aktywując cząsteczki substratów lub bezpośrednio napędzając reakcje tworzenia nowych wiązań chemicznych. Bez ATP nasze komórki nie byłyby w stanie budować nowych struktur ani naprawiać uszkodzeń.
Przekazywanie sygnałów: od impulsów nerwowych po komunikację międzykomórkową
ATP odgrywa również rolę w przekazywaniu sygnałów w organizmie. W układzie nerwowym, energia z ATP jest wykorzystywana do regeneracji potencjału błonowego neuronów po przewodzeniu impulsu nerwowego, co umożliwia szybkie i ciągłe przesyłanie informacji. Ponadto, ATP może działać jako cząsteczka sygnałowa sama w sobie, wpływając na różne procesy komórkowe, takie jak regulacja przepływu krwi czy odpowiedź zapalna. Jest to więc nie tylko nośnik energii, ale także ważny element komunikacji między komórkami.
ATP a metabolizm człowieka: dlaczego ciągły obrót jest tak ważny?
Cały metabolizm człowieka opiera się na efektywnym zarządzaniu energią, a ATP jest w centrum tego systemu. Dynamiczny obrót tej cząsteczki jest dowodem na to, jak intensywnie pracują nasze komórki, aby zapewnić ciągłe dostawy energii niezbędnej do podtrzymania wszystkich funkcji życiowych.
Skala produkcji: ile kilogramów ATP "przerabia" Twój organizm każdego dnia?
Liczby dotyczące produkcji i zużycia ATP w organizmie człowieka są zdumiewające. Szacuje się, że w ciągu doby całkowity obrót tej cząsteczki może odpowiadać masie zbliżonej do masy ciała czyli dla osoby ważącej 70 kg, jest to około 70 kg ATP! Według danych Neuroexpert.org, szacuje się, że w ciągu doby całkowity obrót tej cząsteczki może odpowiadać masie zbliżonej do masy ciała. Co to oznacza? Że pojedyncza cząsteczka ATP jest zużywana i odtwarzana tysiące razy dziennie. Pojedyncza cząsteczka ATP jest zazwyczaj zużywana w ciągu minuty od jej syntezy. Ten niezwykle szybki cykl jest dowodem na to, że ATP nie jest magazynowane, lecz produkowane na bieżąco, dokładnie w momencie, gdy jest potrzebne.
Przeczytaj również: Jak nauczyć się biologii skutecznie i zapamiętać trudne zagadnienia
Regulacja poziomu energii: jak komórka "wie", ile ATP produkować?
Komórki posiadają wyrafinowane mechanizmy regulacji produkcji ATP, które pozwalają im dostosować tempo syntezy do aktualnego zapotrzebowania energetycznego. Głównym czynnikiem kontrolującym jest stosunek stężenia ATP do ADP i AMP (adenozynomonofosforanu). Kiedy poziom ATP jest wysoki, a ADP i AMP niskie, oznacza to, że komórka ma wystarczająco dużo energii, a procesy produkcji ATP są hamowane. Natomiast niski poziom ATP i wysoki poziom ADP/AMP sygnalizują zapotrzebowanie na energię, co stymuluje szlaki metaboliczne do intensywniejszej produkcji ATP. Ta precyzyjna regulacja zapewnia utrzymanie homeostazy energetycznej komórki.
